LaTeX templates and examples — Dynamic Figures
Recent

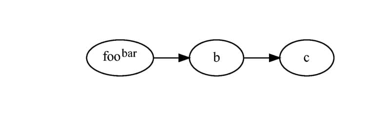
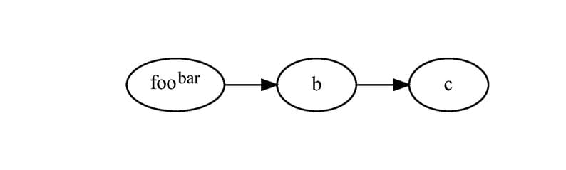
An example of the graphviz package, which uses dot in the background to draw graphs. Add \usepackage[pdf]{graphicx} to get HTML-like labels working.

An example flowchart using Tikz/PGF.

Este gráfico es una mejora, aprovechando el uso de GNUPLOT, de la primera versión que fue publicada por Overleaf. En este caso, la onda de "diente de sierra" es definida según lo indicado en el texto "Mathematical Handbook of Formulas and Tables" de la serie "Schaum's Outlines", de la editorial McGraw Hill, Quinta Edición, página 145. Para mayor precisión, son sumados los 100 primeros términos de la Serie de Fourier, lo cual no afecta grandemente el tiempo de compilación en los servidores de Overleaf.

Hypothetical uniform quantizer standalone class figure.

Tikz Example for UML2 Activity Diagram and Mathematical Block Diagram

j'aimes les math par une courbe paramétrique de cœur !

Bungee, Spring

Flaschenzug, pulley

La figura representa la bandera de Puerto Rico, de gran semejanza a la de Cuba ya que el grupo de separatistas puertorriqueños que adoptó el diseño de la bandera como emblema de su grupo, estaba asociado a los separatistas cubanos que luchaban con idénticos ideales. Sobre la identidad del autor del diseño, se sostiene que fue el patriota puertorriqueño Francisco Gonzalo Marín quien propuso a su compatriota José de la Matta Terreforte el diseño de la bandera y que después fue adoptada. A diferencia de la bandera de Cuba, en la de Puerto Rico se intercambian los colores de las barras y el triángulo equilátero y su relación de aspecto alto/largo es 3:2. Los detalles de diseño y colores de la bandera han sido tomados de la página http://vexilla-mundi.com/puerto_rico_flag.html, ya que la ley y reglamento sobre su uso y diseño no ofrecen detalles específicos de la tonalidad de los colores rojo y azul.
\begin
Discover why over 20 million people worldwide trust Overleaf with their work.