overleaf template galleryLaTeX templates and examples — Recent
Discover LaTeX templates and examples to help with everything from writing a journal article to using a specific LaTeX package.

Official thesis template for the MSc Robotics at University of Bristol and the University of the West of England.

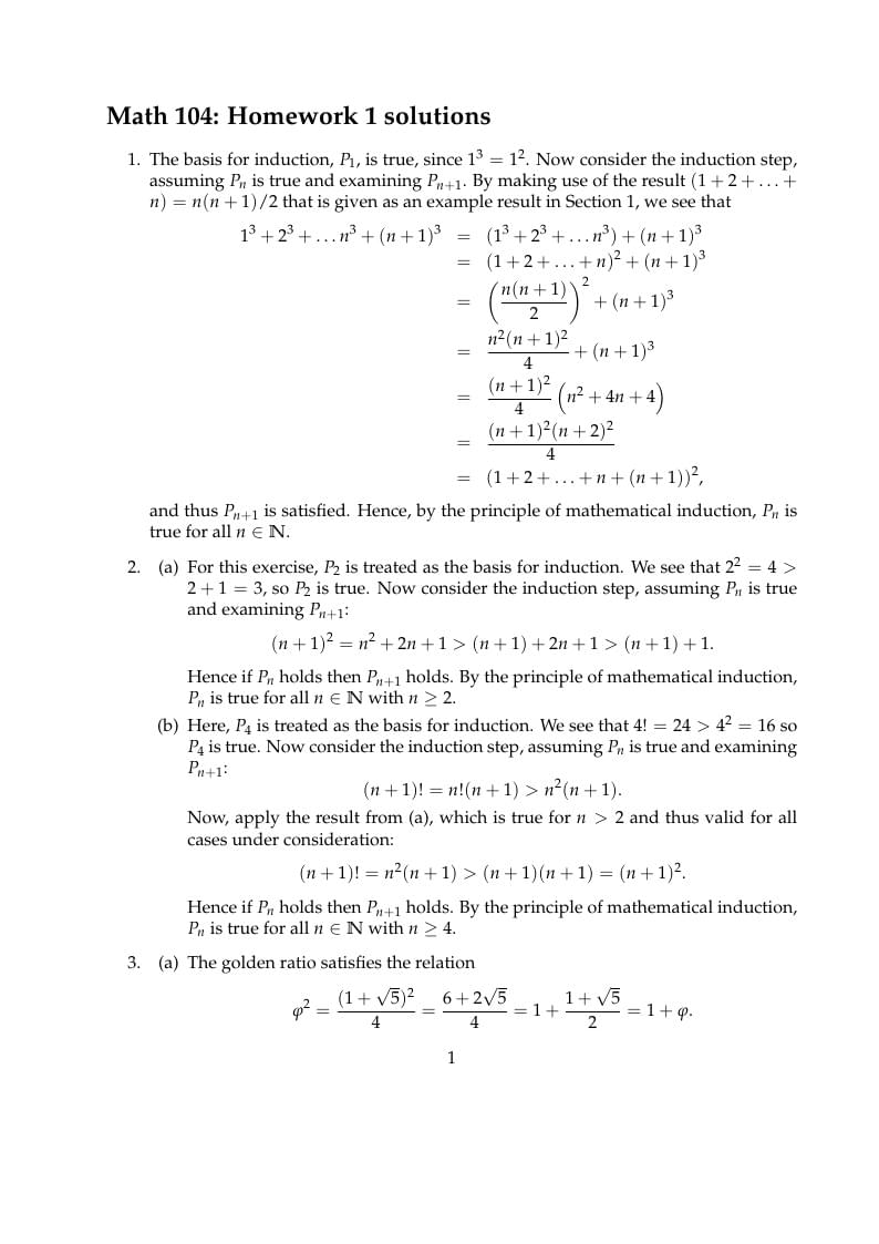
Template for math homework assignments. Allows for Questions with multiple parts (a, b, c, etc.), Theorem boxes, and solution sections. Each problem should have its own .tex file, and compiled by main.tex. Packages, settings, and declarations are handled by settings.tex

Antes de comenzar a desarrollar un proyecto final tiene que estar aprobado por las autoridades que correspondan. Este documento contiene los datos que resumen el proyecto y el formato para avalar el proyecto según lo estipulado Julio 2019.

This is a template for PhD Thesis Plan In Electrical and Computer Engineering of UTAD

Homework assignment LaTeX template created by Ted Pavlic. Source: Ted Pavlic’s homepage. This template was originally published on ShareLaTeX and subsequently moved to Overleaf in October 2019.

This poster theme takes queues from NUST branding and using beamer as LaTeX template. The name namkeen is inspired from the famous Peshawari recipe of Mutton in the Northern Region of Pakistan. Namkeen gosht recipe is famous for its simplicity yet deliciousness. Source https://github.com/hasanalikhattak/namkeen

Modelo de relatório de estágio separado em pastas.

Este formato es para tesis de licenciatura. Ya existe una en la galería de overleaf, pero no te permite modificar la portada a tu gusto, es decir, en este formato puedes cambiar la posición de cada objeto; cambiar tutor a tutores o incluso escribir asesore en lugar de tutores. También se puede ajustar los tamaños de texto y el acomodo de las barras.

LaTeX template to be submitted to the ECMS International Conference on Modelling and Simulation
\begin
Discover why over 25 million people worldwide trust Overleaf with their work.